Karnataka SSLC Maths Answer Key 2026 LIVE: Detailed Solutions by Subject Expert; Question Paper Analysis
Key Event
-
56 mins ago
Karnataka SSLC Maths Exam 2026: Reporting Starts
-
1 hour ago
Karnataka SSLC Maths Exam 2026 Items Cannot Carry
-
2 hour ago
Exam Hall Strategy (The "Topper Flow")
-
3 hour ago
Karnataka SSLC Maths Exam 2026 Toppers Tips
-
4 hour ago
The Cheat Sheet: Hemisphere
-
5 hour ago
Sample Question on Probability
-
6 hour ago
Leap Year Questions from Probability
-
7 hour ago
Probability: Expert Tips for 2026 Exam
Karnataka SSLC Maths Answer Key 2026: KSEAB is conducting the Karnataka SSLC Maths exam 2026 today, March 28, 2026, at the usual time, that is from 10 AM to 1.15 PM (including the 15 minutes extra for question reading). As per the blueprint, the questions comprise of 1, 2, 3, 4, and 5 marks. Some of the most weightage chapters are Triangles, Arithmetic Progressions, Pair of Linear Equations in Two Variables, Surface Areas and Volumes, etc., from which there are 9, 8, and 7 marks, respectively. Total weightage of the Karnataka SSLC Maths 2026 paper is 80 marks. Through this live blog, students can check the subject expert’s answer key solutions and question paper analysis.
Karnataka SSLC Maths Answer Key 2026 (Unofficial)
- The unofficial answer key of Karnataka SSLC Maths 2026 will be updated here after 1:15 PM
Karnataka SSLC Maths Exam 2026: Quick Facts
Find out the major highlights of the Karnataka SSLC Maths exam 2026 here in the following table:
| Particulars | Details |
|---|---|
| Karnataka SSLC Maths Exam 2026 Date | March 28, 2026 |
| Exam Time | 10 AM to 1:15 PM |
| Total Weightage | 80 Marks |
| Type of Questions |
|
| Section-wise Questions |
|
| Total Number of Questions | 38 |
Karnataka SSLC Maths Exam 2026 LIVE
09 00 AM IST - 28 Mar'26
Karnataka SSLC Maths Exam 2026: Reporting Starts
The reporting process for today's exam has started. The exam centre gate will be closed at 9.45 AM. Post that the candidates will not be allowed to enter inside the exam hall.
08 00 AM IST - 28 Mar'26
Karnataka SSLC Maths Exam 2026 Items Cannot Carry
- Electronic gadgets are strictly prohibited
- Unauthorized Study Materials
- Whitener/Correction Fluid
- Written Pencil Boxes
- Electronic Pens
Apart from that, the candidates should carry their own hall ticket, geometry kit, pen, pencil, ruler, eraser, and analog watch, etc. to the exam hall.
07 00 AM IST - 28 Mar'26
Exam Hall Strategy (The "Topper Flow")
- During 15 minutes question reading time, the candidates not only need to read the questions but also should choose the questions that they will answer.
- Start with the 4 and 5-mark questions (Part D & E) while your energy is high. These are usually the theorems and graphs.
- Keep the last 10 minutes for scanning your answer paper. Check whether you write all the units properly or not.
- Do not leave a question blank. At least write the relevant formula, so that they can get 1 mark for writing the formula correctly.
06 00 AM IST - 28 Mar'26
Karnataka SSLC Maths Exam 2026 Toppers Tips
- One 3-mark question will be asked on finding the Mean or Mode.
- One 4-mark Graphical Method question is fixed.
- One 3-mark word problem (usually about speed/time or age).
- The "prove √3 is irrational" 3-mark proof.
05 00 AM IST - 28 Mar'26
The Cheat Sheet: Hemisphere
- Curved Surface Area (CSA): 2πr2
- Total Surface Area (TSA): 3πr2
- Volume: 2/3πr3
04 00 AM IST - 28 Mar'26
Sample Question on Probability
Question: Find the probability that the sum of the numbers on the two dice is 8.
Answer. The probability is 6/36= 1/6.
03 00 AM IST - 28 Mar'26
Leap Year Questions from Probability
The probability of 53 Sundays in a non-leap year (365 days) is 1/7.
The probability of 53 Sundays in a leap year (366 days) is 2/7.
02 00 AM IST - 28 Mar'26
Probability: Expert Tips for 2026 Exam
- Always simplify the fraction. For instance, if your answer is 4/8, then candidates should write 1/2; otherwise, they might lose half a mark.
- Understand the difference between "At Least" vs "At Most". For instance, at least 2 Means 2 or more. Whereas at most 2 means 2 or less (including zero)
01 00 AM IST - 28 Mar'26
The Three "Classic" Scenarios of Probability
Tossing Coins - 1 Coin: Total outcomes = 2 {H, T}
- 2 Coins: Total outcomes = 4 {HH, HT, TH, TT}
Rolling Dice - 1 Die: Total outcomes = 6 {1,2,3,4,5,6}
- 2 Dice: Total outcomes = 36
Playing Cards (52 Cards) - Total: 52 cards (26 Red, 26 Black)
Suits: 4 suits of 13 cards each (Hearts & Diamonds are Red; Spades & Clubs are Black).
Face Cards: 12 total (4 Kings, 4 Queens, 4 Jacks). Aces are not face cards.
12 00 AM IST - 28 Mar'26
The "Sure" and "Impossible" Rules
Probability always lies between 0 and 1.
It can never be negative.
It can never be greater than 1
Sure Event: Probability is 1.
Impossible Event: Probability is 0.
11 00 PM IST - 27 Mar'26
The Fundamental Formula of Probability
P(E)= Number of outcomes favourable to E/ Number of all possible outcomes of the experiment
10 00 PM IST - 27 Mar'26
Coordinate Geometry Checklist
- 1-mark MCQ: Distance of (4,5) from the X-axis is the y-coordinate (5). Distance from the Y axis is the X coordinate (4).
- 2-Mark questions: Calculate the distance between two given points.
- 3-Mark questions: Find the coordinates of a point using the Section Formula.
09 40 PM IST - 27 Mar'26
Formula of a Centroid
Centroid=

09 20 PM IST - 27 Mar'26
The Distance Formulas on Coordinate Geometry
- The formula will be d=
to find out the distance between two points A(x1, y1) and B (x2,y2) - If one point is zero (0,0), then the formula will be d=

- The formula will be d=
09 00 PM IST - 27 Mar'26
Formula Quick-Check from Polynomial
(Distance from Center)2 = (Radius)2 + (Length of Tangent)2
The candidates must use Pythagoras Theorem if a problem involves the length of the tangent, radius, and distance from the center.
08 40 PM IST - 27 Mar'26
Expert "Rider" Tips on Circle
- The Quadrilateral Trap: If a quadrilateral ABCD is circumscribed around a circle, then the formula will be: AB + CD = AD + BC.
- The Angle Relationship: The angle between two tangents and the angle subtended by the radii at the center will be supplementary.
08 20 PM IST - 27 Mar'26
Important Definitions for MCQs from Circle
Tangent: A line that intersects the circle at exactly one point.
Secant: A line that intersects the circle at two points.
Point of Contact: The common point of the tangent and the circle.
Number of Tangents:
From a point inside the circle: 0.
From a point on the circle: 1.
From a point outside the circle: 2.
08 00 PM IST - 27 Mar'26
The Two "Golden" Theorems of Circle
- Theorem 1: The Radius-Tangent Relationship
- Theorem 2: Tangents from an External Point (High Probability)
07 40 PM IST - 27 Mar'26
Polynomials: The "Factor" Test
An MCQ often asks: "Is (x - 2) a factor of x3 - 3x2 + 4x - 4?"
Don't divide! Just use the Remainder Theorem.
Substitute x = 2 into the polynomial.
If the result is 0, then it is a factor. If not, it isn't.
07 20 PM IST - 27 Mar'26
The "Gold Standard" Division Steps of Polynomial
- Always write the terms in descending order of their powers.
- If a power is missing (such as x3-1), then candidates should write it as x3+ 0x2+ 0x-1. This will prevent the alignment errors.
- When the candidates subtract, then change the sign of every term in the bottom row.
07 00 PM IST - 27 Mar'26
Karnataka SSLC Maths Exam 2026: Polynomial Division
Usually, the candidates get the most common questions in the Karnataka SSLC Maths exam, such as "Divide P(x) by g(x) and verify the division algorithm."
The Division Algorithm: P(x)= g(x) x q(x) + r(x)
(Dividend = Divisor X Quotient + Remainder)
06 40 PM IST - 27 Mar'26
Polynomials: The "Relationship" Table
Relationship Quadratic Polynomial (ax2+bx+c) Sum of Zeros (α+β) -b/a Product of Zeros (α-β) c/a 06 20 PM IST - 27 Mar'26
Fundamental Theorem of Arithmetic
- LCM Tip: Consider the highest power of all prime factors involved.
- HCF Tip: Consider the lowest power of only the common prime factors.
06 00 PM IST - 27 Mar'26
Real Numbers: HCF and LCM Relationship
HCF (a,b) X LCM (A,b)= a x b
- Note that the formula only works for two numbers. Do not try to use it if there are more than two numbers.
- If the numbers are large, then candidates should use the Prime Factorisation instead of listing multiples.
05 40 PM IST - 27 Mar'26
List of MCQs for Karnataka SSLC Maths Exam 2026 (1/2)
Ques. The value of sin 30°+ cos 60° is:
Answer. 1
Ques. A cylinder and a cone have the same radius (r) and the same height (h). The ratio of the volume of the cylinder to the volume of the cone is:
Answer. 3:1.
05 20 PM IST - 27 Mar'26
List of MCQs for Karnataka SSLC Maths Exam 2026 (1/1)
Ques. In an Arithmetic Progression, if a = 5 and d = 3, what is the 10th term (a10)?
Answer. 32
Ques. The nature of the roots of the quadratic equation x2 - 4x + 4 = 0 is:
Answer. Real and equal.
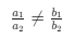
Ques. If the pair of linear equations x + 2y = 3 and 2x + 4y = k are coincident lines, then the value of k is:
Answer. 6
05 00 PM IST - 27 Mar'26
Practice Question on Speed Time and Distance
Question: A train travels 360 km at a uniform speed. If the speed had been 5 km/h more, it would have taken 1 hour less for the same journey. Find the original speed of the train.
Answer: Original speed is 40km/hour.
04 45 PM IST - 27 Mar'26
Quadratic Equations: Final Expert Checklist
- Factorization vs. Formula: Use factorization only if the numbers are small and easy. Whereas the formula is used for the large numbers, which seem to be less prone to errors.
- Final Statement: It is advised to write the final roots clearly.
- Check your answer: Plug the x value back into the original equation. If it is equivalent to zero, then your answer is correct.
04 30 PM IST - 27 Mar'26
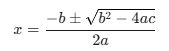
Quadratic Equations: The "Formula Method" Pro-Tips
The Board usually asks the students to solve using the formula."
Formula:

- The sign trap: If the value of b is already negative, then -b will be -(-b)= +b. This is the primary mistake that most of the students make.
- The 2a denominator: Do not forget that the division line goes under the entire numerator, not just the square root part.
- Standard Form first: Before starting to solve, the candidates should rearrange the equation as ax2+bx+c=0 before picking a, b, c.
04 15 PM IST - 27 Mar'26
Quadratic Equations: The "Discriminant" Table
Candidates are usually asked the "Nature of Roots." The same depends on the value of discrimination (D or Δ):
Value of D Nature of Roots D>0 Two Distinct Real Roots D=O Two Equal Real Roots D<0 $D < 0$No Real Roots 04 00 PM IST - 27 Mar'26
Practice Questions on "Frustum of a Cone"
The "Drinking Glass" Problem
Question: A drinking glass is in the shape of a frustum of a cone of height 14 cm. The diameters of its two circular ends are 4 cm and 2 cm. Find the capacity (volume) of the glass.
Answer. V= 102.66 cm3
03 45 PM IST - 27 Mar'26
The "Solid Conversion" Logic
- The Golden Rule: Volume of Old Solid = Volume of New Solid.
- The Wire Trap: Since a wire is always a cylinder, therefore, it's height will be equivalent to its height.
Note that you write the equation Vol1= Vol2 and cancel π from both sides before the candidates start multiplying the numbers. It will save you two minutes.
03 30 PM IST - 27 Mar'26
The "Frustum of a Cone"
- The Slant Height (l):

- Volume: V=

- The Slant Height (l):
03 15 PM IST - 27 Mar'26
The "Combination of Solids" Strategy
- Rule for Volume: Simply add the volumes of the individual shapes.
- Rule for Surface Area: Candidates should only add the visible surfaces.
03 00 PM IST - 27 Mar'26
Top 3 Conversion Patterns for 2026
- Sphere to Multiple Small Spheres
- Cylinder to Cones
- Embankment Problems
02 45 PM IST - 27 Mar'26
The "Sphere to Wire" Problem (Common Exam Pattern)
Question: A copper sphere of radius 3 cm is melted and drawn into a long wire of uniform cross-section. If the length of the wire is 36 m, find the radius of the wire.
Answer. R = √1/100 = 0.1 cm (or 1 mm)
02 30 PM IST - 27 Mar'26
Surface Areas and Volumes: Expert Calculation Tips
- Don't substitute π early. Keep π as a symbol until the very last step.
- If you substitute, use 22/7.
- Area is always in cm2 or m2. Volume is always in cm3 or m3.
02 15 PM IST - 27 Mar'26
Surface Areas and Volumes: Essential Formula Cheatsheet (1/2)
Shape Volume (V) Curved Surface Area (CS A) Sphere 4/3πr3 4πr2 Hemisphere 2/3πr3 2πr2 02 00 PM IST - 27 Mar'26
Surface Areas and Volumes: Essential Formula Cheatsheet (1/1)
Shape Volume (V) Curved Surface Area (CS A) Cylinder πr2h 2πrh Cone 1/3πr2h πrl (where l= √r2+h2 01 45 PM IST - 27 Mar'26
How to Score a Perfect 4/4 on the Graph?
- For Tables: Candidates should find out 3 points for each equation. A 3rd point acts as a "straight line check."
- The Axes: Clearly mark X, X', Y, and Y'.
- The scale should be written in the top right.
- Scale: > X axis: 1 cm = 1 unit.
- Y axis: 1 cm = 1 unit.
- Labelling: Write the equation name along the line itself.
- Write a conclusion below the graph or on the facing page.
01 30 PM IST - 27 Mar'26
Pair of Linear Equations in Two Variable: The "Fixed" 4-Mark Graphical Question
- Create a table for each question. For the same, select three values for x that result in whole numbers for y.
- Before plotting, using the elimination method, the candidates should solve the equations mentally or in the rough column. For instance, if the answer is (2,3), then make sure (2,3) is one of the points in both tables.
- Candidates should not forget to write the scale in the top right corner.
- After drawing the lines, write: "The lines intersect at point P (x, y). Hence, x-=......, y=.....
01 15 PM IST - 27 Mar'26
Pair of Linear Equations in Two Variable: High-Probability Word Problems
The Fraction Problem: "A fraction becomes 1/3 if 1 is added to the numerator..." (Let the fraction be x/y).
The Age Problem: "5 years ago, Jacob was 7 times as old as his son..." (Note: subtract 5 from both ages in your equation).
The Fixed Charge Problem: Often about a library or a taxi fare (Fixed charge x + Variable charge y).
01 00 PM IST - 27 Mar'26
Pair of Linear Equations in Two Variable: The "Nature of Roots" Table:
Ratio Comparison Graphical Representation Algebraic Interpretation 
Intersecting Lines Unique Solution (Exactly one) 
Coincident Lines Infinitely Many Solutions 
Parallel Lines No Solution 12 45 PM IST - 27 Mar'26
Emergency Formula List to Review Right Now
- Quadratic Formula:

- Section Formula: P (x,y)=

- Volume of Frustum: V=

- Quadratic Formula:
12 30 PM IST - 27 Mar'26
Expert "Exam Day" Hacks
- To identify the internal choice questions (which you know the best), should mark during the 15-minutes questions reading time.
- Do not mess with the formula. If you are unable to complete the answer correctly, then you will get step marks for correctly writing the formula.
- Do not get stuck on solving one problem; it will take more than 10 minutes. Instead, leave the sum and move to the next one.
- Do not forget to add units (cm, m, etc.). Otherwise, you will lose half a mark per question.
12 15 PM IST - 27 Mar'26
Karnataka SSLC Maths Exam 2026 Preparation Tips for 24 Hours (1/3)
Evening (6:00 PM – 9:00 PM): Formula Revision & MCQs
- Surface Areas & Volumes
- Coordinate Geometry
- MCQs
12 00 PM IST - 27 Mar'26
Karnataka SSLC Maths Exam 2026 Preparation Tips for 24 Hours (1/2)
Afternoon (1:00 PM – 5:00 PM): The "Formula & Calculation" Block
- Statistics
- Arithmetic Progressions
- Trigonometry
11 45 AM IST - 27 Mar'26
Karnataka SSLC Maths Exam 2026 Preparation Tips for 24 Hours (1/1)
Till 12 PM: The "Fixed Marks" Block
- Theorems
- Graphs
- Constructions
- Ogive
11 30 AM IST - 27 Mar'26
Complementary Angles (90- θ)
- sin(90°-θ)= cosθ
- tan(90°-θ)= cotθ
- sec(90°-θ)= cosecθ
11 15 AM IST - 27 Mar'26
Trigonometric Identities (The "Proof" Section)
- sin2θ+cos2θ = 1
- 1+tan2θ= sec2θ
- 1+cot2θ= cosec2θ
11 00 AM IST - 27 Mar'26
Introduction to Trigonometry: Reciprocal Relations
- cosecθ=1/sinθ
- secθ= 1/cosθ
- cotθ= 1/tanθ
10 45 AM IST - 27 Mar'26
Introduction to Trigonometry: The Standard Values Table (Must Memorize!)
Ratio 0° 30° 45° sinθ 0 1/2 1/√2 cosθ 1 √3/2 1/√2 10 30 AM IST - 27 Mar'26
Introduction to Trigonometry: The "Big Three" Ratios
- sinθ= Opposite/ Hypotenuse
- cosθ= Adjacent/ Hypotenuse
- tanθ= Opposite/ Adjacent (Most important for Heights & Distances!)
10 15 AM IST - 27 Mar'26
Expert Tip: Trigonometric Values to Memorize
- tan 30°= 1/√3
- tan 45°= 1
- tan 60°= √3
10 00 AM IST - 27 Mar'26
Applications of Trigonometry: List of Practice Question (1/2)
Problem 2: The "Building and Tower" Pattern
Question: The angle of elevation of the top of a building from the foot of a tower is 30°, and the angle of elevation of the top of the tower from the foot of the building is 60°. If the tower is 50m high, find the height of the building.
09 45 AM IST - 27 Mar'26
Applications of Trigonometry: List of Practice Question (1/1)
Problem 1: The "Two-Observer" Pattern (Very High Probability)
Question: From the top of a 75m high lighthouse, the angles of depression of two ships are 30° and 45°. If one ship is exactly behind the other on the same side, find the distance between the two ships.
09 30 AM IST - 27 Mar'26
Applications of Trigonometry: The "Golden Rules" for 2026
- Use tan θ, since most of the problems involve "Height" (Opposite) and "Distance" (Adjacent), therefore, the formula will be: tan θ= Opposite/ Adjacent
- Angle of Elevation vs. Depression: Remember, the Angle of Depression is equal to the Angle of Elevation from the object back to the observer (i.e. Alternate Interior Angles).
09 15 AM IST - 27 Mar'26
Practice Questions on "Sum of n terms" formula
Problem 1: The "Direct Application" (3 Marks) Question: Find the sum of the first 20 terms of the Arithmetic Progression: 5, 10, 15, 20,...... Problem 2: The "Last Term" Shortcut (2 Marks) Question: Find the sum of the series: 7+14+21+.......+70 Problem 3: The "Word Problem" (4 Marks) Question: A manufacturer of TV sets produced 600 sets in the third year and 700 sets in the seventh year. Assuming the production increases uniformly by a fixed number every year, find the total production in the first 10 years. 09 00 AM IST - 27 Mar'26
Arithmetic Progressions: Frequently Asked Patterns for 2026
Multiples Problem: "Find the sum of all two-digit numbers divisible by 3." (Hint: Your AP starts at 12 and ends at 99).
The Simultaneous Equation Question: "If the 3rd term is 12 and the 7th term is 24, find the 10th term."
08 45 AM IST - 27 Mar'26
Arithmetic Progressions: The "Three-Term" Trick
- Don't use a, a+d, a+2d
- Instead, use (a-d), a, (a+d)
- When the candidates add them, d will be canceled out immediately. This will help them to find it in a single step.
08 30 AM IST - 27 Mar'26
Expert Tips on Arithmetic Progressions: The "Must-Know" Formula Pair
- Finding the nth term (an): an= a + (n-1)d
- Finding the Sum of n terms (Sn): Sn= n/2 [2a+ (n-1)d] or, Sn= n/2 (a+l)
08 15 AM IST - 27 Mar'26
Rapid Fire Quiz on Statistics (1/3)
Ques. What is the range of the following data: 12, 25, 15, 8, 32, 11?
Answer. 24
Ques. If the mean of five observations is 10, and each observation is multiplied by 2, what is the new mean?
Answer. 20
Ques. In a frequency distribution, if the mode is 25 and the median is 25, what can be said about the distribution?
Answer. It is symmetrical.
08 00 AM IST - 27 Mar'26
Rapid Fire Quiz on Statistics (1/2)
Ques. If the Mean is 15 and the Median is 14, what is the approximate value of the Mode using the empirical relationship?
Answer. 12
Ques. While calculating the mean of 10 items, a value of 50 was mistakenly taken instead of 40. If the initial mean was 40, what is the correct mean?
Answer. 39
Ques. In the construction of an Ogive, what values are plotted on the X-axis for a 'Less than type' graph?
Answer. Upper-class limits.
07 45 AM IST - 27 Mar'26
Rapid Fire Quiz on Statistics (1/1)
Ques. The mean of the numbers 6, 4, 7, a, and 10 is 8. What is the value of a?
Answer. 13
Ques. In a grouped frequency distribution, if the median class is 20 -30, the lower limit (L) is 20, the frequency (f) is 10, the cumulative frequency of the preceding class (Cf) is 15, and the total frequency (N) is 50, what is the median if the class width (h) is 10?
Answer. 30
Ques. What is the mode of the following set of data: 5, 8, 5, 3, 9, 5, 8, 4, 7?
Answer. 5
07 30 AM IST - 27 Mar'26
Quick Self-Correction Guide
- Usually, most of the SSLC Maths questions have a single intersection point. If the lines are parallel and the question did not mention "No Solution", then the candidates should re-check their tables.
- If the scale is missing, then the perfect graph may lose 1 mark.
- Write down the equation name along with the length of each line.
07 15 AM IST - 27 Mar'26
4-Mark Graph Question
Solve the following pair of linear equations graphically:
- x+y= 5
- 2x-y= 4
07 00 AM IST - 27 Mar'26
Quick Checklist for Exam Day
- Carry at least two sharpened HB pencils.
- Carry your eraser
- Do not forget to bring your Geometry box, including the compass
- Do not miss to label the diagram, otherwise the candidates will lose half a mark.
06 45 AM IST - 27 Mar'26
The "Passing Package" Diagram List
- The Triangle Theorems
- Tangents to a Circle
- Division of a Line Segment
- The "Ogive" Graph
- Pair of Linear Equations Graph
06 30 AM IST - 27 Mar'26
High-Probability Questions for 2026 from Trainagles
- Finding the value of x when a line DE is parallel to BC (Application of BPT).
- Problems involving a ladder leaning against a wall (Pythagoras' application).
- Proving that the ratio of the areas of two similar triangles is equal to the square of the ratio of their corresponding altitudes or medians.
06 15 AM IST - 27 Mar'26
Expert "Presentation" Tips for Traingles
- The "Given" and "To Prove" Block: Even if the candidates cannot prove, then writing the correct given data and proving it, along with a neat diagram, can fetch 1 to 1.5 marks.
- Pencil-Only Diagrams: Do not draw any triangles with a pen. Instead, use a sharp pencil and a scale. Do not make a mess while drawing a diagram.
- Describe the Reason: It is necessary to write down the reason in brackets, in every step of the proof.
06 00 AM IST - 27 Mar'26
Area Ratio Property: Calculation Hacks (2 & 3 Marks)
Do not forget that the ratio of the areas of two similar triangles is the square of the ratio of their corresponding sides.
Common Trap: If the side ratio is 2:3, then the area ratio is 4:9, not 2:3.
05 45 AM IST - 27 Mar'26
The "Shadow" Problem: Calculation Hacks (2 & 3 Marks)
A vertical pole and a tower cast shadows at the same time, since the angle of the sun is the same and the triangles are similar. Hence, the candidates should use the ratio:
Height of pole/ Shadow of pole = Height of Tower/ Shadow of tower
05 30 AM IST - 27 Mar'26
How to Score Full Marks in Theorems?
- Do not write the theorem in your own words. Write it exactly as the same words mentioned in the textbook.
- Figure: Draw a neat, labeled diagram, only using a pencil and scale.
- Given (Data): Mention what is already provided in the circle/ triangle.
- Construction: Detail an extra line or perpendiculars that the candidates draw.
- Proof: Mention the step-by-step logical reasoning with the reasons.
05 15 AM IST - 27 Mar'26
Most Frequently Asked Theorem
- Basic Proportionality Theorem (Thales Theorem)
Pythagoras Theorem
Area of Similar Triangles Theorem
Circle Tangent Theorems
AAA Similarity Criterion
05 00 AM IST - 27 Mar'26
Karnataka SSLC Maths Exam 2026: Key Highlights
- Internal Choice: Candidates will have choices for 3- and 4-mark questions (e.g., "Answer either A or B").
- Theorems & Graphs: Candidates will get one 4-mark graph (Linear Equations) and one 4-mark theorem (often BPT or Pythagoras from Triangles).
Do you have a question? Ask us.
- Typical response between 24-48 hours
- Get personalized response
- Free of Cost
- Access to community